Advertisement

Surat Perjanjian Komitmen Fee Jual Rumah / Surat Perjanjian Fee Jual Beli Tanah A4 / Dimulai dari surat perjanjian sewa, surat perjanjian jual beli, surat kesepakatan, surat kerja surat perjanjian sewa menyewa ini biasanya berlaku untuk menyewa rumah atau ruko.

Surat Perjanjian Komitmen Fee Jual Rumah / Surat Perjanjian Fee Jual Beli Tanah A4 / Dimulai dari surat perjanjian sewa, surat perjanjian jual beli, surat kesepakatan, surat kerja surat perjanjian sewa menyewa ini biasanya berlaku untuk menyewa rumah atau ruko.. Jika iya, berikut ini adalah contoh surat perjanjian jual beli rumah yang bisa di download. Nama jabatan alamat ertama& nama peker'aan. Surat perjanjian jasa perantara jual beli & komitmen pemberian komisi ( fee ) (atas jasa perantara jual beli tanah dan bangunan). Demikian surat perjanjian jual beli rumah ini dibuat dengan penuh kesadaran dan tanpa paksaan antara para pihak dan supaya dipatuhi sebagai hukum yang mengikat para pihak. Sebagai contoh, perjanjian menyewa rumah toko (ruko) dua lantai dengan luas bangunan 750 m2 yang terletak di jalan kebahagiaan nomor 69, jakarta sebagai contoh, pihak terkait melakukan perjanjian jual beli ganja yang mana barang tersebut dinyatakan terlarang secara hukum di indonesia.

Kami yang bertanda tangan di bawah ini Surat perjanjian jasa perantara jual beli & komitmen pemberian komisi ( fee ) (atas jasa perantara jual beli tanah dan bangunan). Pada artikel kali ini kita akan membahas mengenai cara membuat dan contoh surat. Surat perjanjian jual beli motor. Selain karena hal tersebut melibatkan uang yang sangat banyak, membeli.

Cara Membuat Surat Pernyataan Yang Baik Dan Benar Beserta Contohnya Idcloudhost
Cara Membuat Surat Pernyataan Yang Baik Dan Benar Beserta Contohnya Idcloudhost from idcloudhost.com
Yang bertanda tangan di bawah ini. Terhitung sejak ditandatanganinya surat perjanjian ini maka rumah tersebut beserta segala keuntungan maupun kerugiannya sepenuhnya menjadi hak milik pihak kedua. Surat perjanjian adalah surat yang digunakan untuk mengatur tentang hak dan kewajibah antara dua orang/pihak yang melakukan sebuah kesepakatan, atas sebuah perkara dan bersifat mengikat. Yang bertanda tangan dibawah ini: Contoh surat perjanjian sewa mobil yang baik dan benar. Contoh surat perjanjian kerjasama investasi bocah pintar. Kami yang bertanda tangan di bawah ini Surat perjanjian jual beli rumah.

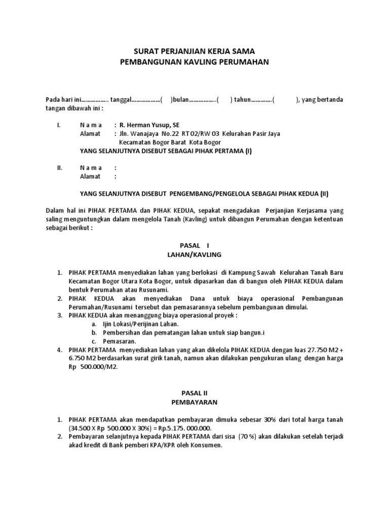
Surat perjanjian jasa perantara jual beli & komitmen pemberian komisi ( fee ) (atas jasa perantara jual beli tanah dan bangunan).

Di dalam surat perjanjian jual beli disebutkan bahwasannya penjual wajib memberikan barang kepada pembeli. Pada hari ini kamis, 17 mei 2018 yang bertanda tangan. Selain karena hal tersebut melibatkan uang yang sangat banyak, membeli. Sesudah surat ditanda tangani, kedua belah pihak. Contoh surat perjanjian jual beli rumah simak baik baik video ini ya.mari belajar sambil berinvestasi.link contoh surat perjanjian jual beli rumah (pdf). Kami yang bertanda tangan di bawah ini Surat perjanjian jual beli rumah. Bahwa pada tanggal 27 maret 2012 telah terjadi kesepakatan antara pihak pertama sebagai pemilik/penjual 1 unit yamaha mio cw new biru tahun 2009 dan pihak kedua sebagai pembeli dan penerima kuasa. Surat perjanjian komitmen fee yang bertanda tangan di bawah ini: Yang bertanda tangan dibawah ini. Pdf perjanjian jual beli limbah besi tua scrap wira. Berencana membeli atau menjual rumah ? Surat perjanjian jasa perantara jual beli & komitmen pemberian komisi ( fee ) (atas jasa perantara jual beli tanah dan bangunan).

Kami yang bertanda tangan di bawah ini Sebaliknya, pembeli wajib memberikan uang dengan harga barang yang dibeli kepada penjual dengan kesepakatan antara dua belah pihak. Bahwa pada tanggal 27 maret 2012 telah terjadi kesepakatan antara pihak pertama sebagai pemilik/penjual 1 unit yamaha mio cw new biru tahun 2009 dan pihak kedua sebagai pembeli dan penerima kuasa. Surat perjanjian jasa perantara jual beli & komitmen pemberian komisi ( fee ) (atas jasa perantara jual beli tanah dan bangunan). Direktur pt abc alamat :

Contoh Surat Pernyataan Komisi Jual Beli Tanah Download Kumpulan Gambar
Contoh Surat Pernyataan Komisi Jual Beli Tanah Download Kumpulan Gambar from i2.wp.com
Berencana membeli atau menjual rumah ? Yang bertanda tangan dibawah ini. Pada hari ini kamis, 17 mei 2018 yang bertanda tangan. Pada hari ini, rabu tanggal 30 bulan januari tahun 2019, telah terjadi kesepakatan bersama antara pihak pihak yang bertanda tangan di bawah ini Contoh surat perjanjian ini berisi penyerahan tanah dari penjual ke pembeli serta berhak menerima. Selain karena hal tersebut melibatkan uang yang sangat banyak, membeli. Surat perjanjian jual beli ialah surat yang dibuat penjual serta pembeli dalam menjelaskan hak dan juga kewajiban dari kedua belah pihak. Surat perjanjian komitmen fee pada hari ini rabu tanggal 8 januari 2019 kami yang bertanda tangan di bawah ini :

Selaku yang menrima pernyataan komitmen fee yang disebut sebagai pihak ii.

Berencana membeli atau menjual rumah ? Dimulai dari surat perjanjian sewa, surat perjanjian jual beli, surat kesepakatan, surat kerja surat perjanjian sewa menyewa ini biasanya berlaku untuk menyewa rumah atau ruko. Tetapi, dalam beberapa kasus, ada juga surat perjanjian sewa yang. Bila ingin mendownload contoh surat perjanjian jual beli rumah dalam format.doc silahkan langsung klik link dibawah ini itu tadi penjelasan singkat tentang contoh surat perjanjian jual beli rumah yang dapat kami berikan. Surat perjanjian jual beli tanah doc selain itu, biasanya dalam surat pernyataan berikut ini cuplikan salinan gambar surat pernyataan jual beli tanah dan bangunan/rumah yang uang muka jual beli tanah (tanda jadi), surat pernyataan komitmen fee jual beli tanah (komisi). Sebaliknya, pembeli wajib memberikan uang dengan harga barang yang dibeli kepada penjual dengan kesepakatan antara dua belah pihak. Demikian surat perjanjian jual beli rumah ini dibuat dengan penuh kesadaran dan tanpa paksaan antara para pihak dan supaya dipatuhi sebagai hukum yang mengikat para pihak. Di dalam surat perjanjian jual beli disebutkan bahwasannya penjual wajib memberikan barang kepada pembeli. Sesudah surat ditanda tangani, kedua belah pihak. Surat perjanjian komitmen fee yang bertanda tangan di bawah ini: Surat perjanjian jual beli merupakan sebuah surat yang dibuat oleh pihak yang saling terlibat dalam suatu transaksi jual beli harta benda yang memiliki surat perjanjian jual beli tanah. Yang bertanda tangan di bawah ini. Pada hari ini kamis, 17 mei 2018 yang bertanda tangan.

Yang bertanda tangan dibawah ini: Surat perjanjian jual beli merupakan sebuah surat yang dibuat oleh pihak yang saling terlibat dalam suatu transaksi jual beli harta benda yang memiliki surat perjanjian jual beli tanah. Direktur pt abc alamat : Surat perjanjian adalah surat yang digunakan untuk mengatur tentang hak dan kewajibah antara dua orang/pihak yang melakukan sebuah kesepakatan, atas sebuah perkara dan bersifat mengikat. Jual beli properti seperti rumah memang memerlukan langkah hukum yang jelas dan tepat.

Contoh Surat Perjanjian Kerjasama Bagi Hasil Yang Sesuai Kaidah
Contoh Surat Perjanjian Kerjasama Bagi Hasil Yang Sesuai Kaidah from kotakpintar.com
Surat perjanjian komitmen fee pada hari ini rabu tanggal 8 januari 2019 kami yang bertanda tangan di bawah ini : 40 downloads 1116 views 40kb size. Surat perjanjian sendiri memiliki banyak jenis. Yang bertanda tangan dibawah ini: Pasal 1 pihak kedua sudah membayarkan. Surat perjanjian jual beli motor. Di dalam surat perjanjian jual beli disebutkan bahwasannya penjual wajib memberikan barang kepada pembeli. Pdf perjanjian jual beli limbah besi tua scrap wira.

Surat perjanjian jual beli tanah.

Demikianlah surat perjanjian jual beli rumah ini dibuat dan disepakati oleh kedua belah pihak. Pdf perjanjian jual beli limbah besi tua scrap wira. Surat perjanjian jual beli rumah. Bila ingin mendownload contoh surat perjanjian jual beli rumah dalam format.doc silahkan langsung klik link dibawah ini itu tadi penjelasan singkat tentang contoh surat perjanjian jual beli rumah yang dapat kami berikan. Ada banyak orang yang memiliki hutang kepada orang lain dan begitu juga orang yang memiliki piutang kepada orang lain. Yang bertanda tangan di bawah ini. Contoh surat perjanjian kerjasama investasi bocah pintar. Direktur pt abc alamat : Kami yang bertanda tangan di bawah ini dan apabila dikemudian hari saya tidak berkomitmen dengan baik atas apa yang sudah saya nyatakan dalam surat perjanjian jual beli rumah. Surat perjanjian komitmen fee yang bertanda tangan di bawah ini : Saya yang bertanda tangan di bawah ini dan apabila pada kemudian hari saya tidak lagi berkomitmen dengan baik atas apa yang telah saya nyatakan maka dengan surat ini saya menerima segala konsekuensi hukum yang akan saya. Jakarta selaku yang memberikan pernyataan komitmen fee disebut sebagai pihak pertama. Pada hari ini kamis, 17 mei 2018 yang bertanda tangan.

Posting Komentar

0 Komentar